Mathe Arbeitsblätter zum kostenlosen Download

Mathe Arbeitsblätter zum kostenlosen Download

Entdeckt unsere große Auswahl an kostenlosen Mathe-Arbeitsblättern und Übungsblättern. Perfekt für Schüler:innen, Eltern und Lehrkräfte – von Grundlagen wie Brüchen bis zu fortgeschrittenen Themen wie Gleichungssystemen. Jedes Blatt bietet leicht verständliche Erklärungen, gestaffelte Schwierigkeitsgrade und praktische Lösungen. Ideal für Unterricht, Hausaufgaben oder eigenständiges Lernen. Jetzt herunterladen und Mathe einfach verstehen!

Die Aufgaben decken viele zentrale Themen ab – von den Grundrechenarten über Brüche und Gleichungen bis hin zu Geometrie und Prozentrechnung. Alle Blätter sind klar strukturiert, verständlich erklärt und direkt einsetzbar – auch als Ergänzung zum Unterricht.

✅ Für Klassen 5 bis 10
✅ Mit Lösungen (wenn gewünscht)
✅ Kostenloser PDF-Download
✅ Ideal für Schüler, Eltern und Lehrkräfte

📥 Lade dir jetzt passende Mathe-Übungen herunter und stärke dein Verständnis – ganz ohne Anmeldung!

126 Produkte

  • Arbeitsblatt zum Üben von Ableitungen - Lernmarktplatz

    Studimup® Arbeitsblatt Ableitungen – Grundlagen der Differentialrechnung üben | PDF mit Lösungen

    Kostenloses Mathematik-Arbeitsblatt zum Thema Ableitungen – ideal für Schüler:innen ab Klasse 10, für Nachhilfe, Hausaufgaben oder den Unterricht. Mit diesem Arbeitsblatt festigen Lernende die Grundlagen der Differentialrechnung. Aufgaben zum Ableiten einfacher Funktionen helfen, das Konzept der Änderungsrate zu verstehen und sicher anzuwenden. Zwei Varianten stehen zur Verfügung:– Faltblatt mit umklappbaren Lösungen – ideal für eigenständiges Üben– Klassisches Arbeitsblatt mit separatem Aufgaben- und Lösungsblatt – perfekt für den Schulunterricht und Lehrkräfte ✔️ Mit Lösungen zur direkten Selbstkontrolle✔️ Fördert das Verständnis für erste und einfache Ableitungen✔️ Kostenlos herunterladen – kein Zahlungsprozess notwendig 📥 Jetzt kostenlos bestellen und als PDF herunterladen – ohne Anmeldung von Zahlungsdaten.

    €0,00

  • Arbeitsblatt zum Üben der Potenzregel - Ableitung - Lernmarktplatz

    Studimup® Arbeitsblatt Potenzregel – Ableitungen mit Potenzen | PDF mit Lösungen

    Kostenloses Arbeitsblatt zur Potenzregel – ideal für Schüler:innen der Mittel- und Oberstufe sowie für den Mathematikunterricht, Hausaufgaben oder die Prüfungsvorbereitung. Das Material vermittelt Schritt für Schritt, wie man Funktionen mithilfe der Potenzregel ableitet – eine der grundlegendsten Ableitungsregeln in der Analysis. Verständlich erklärt, anschaulich aufgebaut und sofort einsetzbar. Du erhältst zwei Varianten:– Faltblatt mit umklappbaren Lösungen zur Selbstkontrolle– Klassisches Arbeitsblatt mit separatem Lösungsblatt – perfekt für Lehrer:innen im Unterricht oder für eigenständiges Üben ✔️ Mit ausführlichen Aufgaben und Lösungen✔️ Fördert das sichere Ableiten von Potenzfunktionen✔️ Als kostenloses PDF erhältlich – kein Zahlungsprozess notwendig 📥 Jetzt kostenlos bestellen und als PDF herunterladen – ohne Anmeldung von Zahlungsdaten.

    €0,00

  • Arbeitsblatt zum Berechnen von Wendepunkten - Lernmarktplatz

    Studimup® Arbeitsblatt Wendepunkte berechnen – Kurvendiskussion (PDF, mit Lösungen)

    1 Bewertung

    Kostenloses Arbeitsblatt zur Berechnung von Wendepunkten – zwei Varianten für unterschiedliche Lernbedürfnisse.Lerne Schritt für Schritt, wie man Wendepunkte bestimmt, und übe gezielt das Erkennen und Analysieren von Krümmungsverhalten im Rahmen der Kurvendiskussion. 📘 Enthaltene Varianten: Faltblatt mit umklappbaren Lösungen – ideal fürs selbstständige Lernen Klassisches Arbeitsblatt mit separatem Lösungsblatt – perfekt für Unterricht oder Hausaufgaben 📐 Geeignet für Schüler*innen ab Klasse 11Mit detaillierten Lösungen zur Kontrolle & Vertiefung – verständlich & prüfungsnah. 🔽 Einfach kostenlos bestellen und sofort als PDF herunterladen – ohne Zahlungsdaten.

    €0,00

  • Arbeitsblatt zum Berechnen von Schnittpunkten quadratischer und linearer Funktionen - Lernmarktplatz

    Studimup® Arbeitsblatt Schnittpunkte linearer & quadratischer Funktionen berechnen (PDF)

    Kostenloses Mathe-Arbeitsblatt zur Berechnung der Schnittpunkte zwischen linearen und quadratischen Funktionen.Perfekt zum gezielten Üben eines zentralen Themas der Funktionslehre – mit zwei Varianten für individuelles oder schulisches Lernen. 📘 Enthaltene Varianten: Faltblatt mit umklappbaren Lösungen – optimal für eigenständiges Arbeiten Klassisches Arbeitsblatt mit separatem Lösungsblatt – ideal für Unterricht & Hausaufgaben 📐 Geeignet ab Klasse 9, insbesondere für die Mittelstufe und PrüfungsvorbereitungMit vollständigen Lösungen zur direkten Kontrolle & vertiefenden Wiederholung 🔽 Einfach kostenlos bestellen und als PDF herunterladen – keine Zahlungsdaten notwendig.

    €0,00

  • Arbeitsblatt zum Bestimmen der Definitionsmege und Wertemenge - Lernmarktplatz

    Studimup® Arbeitsblatt Definitionsmenge & Wertemenge – PDF mit Lösungen

    Kostenloses Mathe-Arbeitsblatt zur Bestimmung von Definitions- und Wertemengen – ideal für Schüler:innen ab Klasse 8 sowie für den Einsatz im Unterricht. Das Übungsmaterial hilft dabei, die Grundlagen rund um Funktionen zu festigen:– Wie liest man aus Termen die Definitionsmenge ab?– Welche Werte kann eine Funktion annehmen? Du bekommst zwei Varianten:– Faltblatt mit umklappbaren Lösungen – perfekt für selbstständiges Lernen– Klassisches Arbeitsblatt mit separatem Lösungsblatt – optimal für Lehrer:innen im Unterricht, für Hausaufgaben oder die Nachhilfe ✔️ Grundlagen verständlich erklärt✔️ Mit Lösungen zur direkten Kontrolle✔️ Ideal zur Wiederholung oder Einführung ins Thema „Funktionen“ 📥 Jetzt kostenlos bestellen und als PDF herunterladen – ohne Anmeldung von Zahlungsdaten.

    €0,00

  • Arbeitsblatt zum Üben von Ungleichungen - Lernmarktplatz

    Studimup® Arbeitsblatt Ungleichungen – Mathe kostenlos üben mit Lösungen (PDF)

    Dieses kostenlose Mathematik-Arbeitsblatt zum Thema Ungleichungen hilft Schüler:innen, die Grundlagen Schritt für Schritt zu verstehen und sicher anzuwenden. Ob einfache lineare Ungleichungen oder Aufgaben mit Umformungen – die Übungen fördern systematisches Denken und die sichere Anwendung mathematischer Regeln. Ideal für den Einsatz im Unterricht, in der Nachhilfe, zu Hause oder zur Prüfungsvorbereitung.Erhältlich in zwei Varianten: – Faltblatt mit umklappbaren Lösungen – optimal für selbstständiges Lernen– Klassisches Arbeitsblatt mit separater Lösungsseite – besonders geeignet für Lehrer:innen und den Unterricht ✔️ Mit Lösungen zur direkten Selbstkontrolle✔️ Fördert das mathematische Verständnis von Ungleichungen✔️ 100 % kostenloser Download – kein Zahlungsprozess nötig 📥 Jetzt kostenlos bestellen und als PDF herunterladen – ohne Anmeldung von Zahlungsdaten.

    €0,00

  • Arbeitsblatt Primfaktorzerlegung – Zwei praktische Varianten - Lernmarktplatz

    Studimup® Arbeitsblatt Primfaktorzerlegung – PDF kostenlos mit Lösungen

    Mit diesem kostenlosen Mathematik-Arbeitsblatt zur Primfaktorzerlegung übt ihr das Zerlegen von natürlichen Zahlen in ihre Primfaktoren – eine wichtige Grundlage der Zahlentheorie und Teilbarkeitslehre. Das Material eignet sich ideal für Schüler:innen ab Klasse 6 und für Lehrer:innen im Matheunterricht, zur Nachhilfe oder zur Wiederholung zu Hause. Du erhältst zwei Varianten:– Faltblatt mit umklappbaren Lösungen – perfekt zum selbstständigen Üben– Klassisches Arbeitsblatt mit Aufgaben- und Lösungsblatt – optimal für den Einsatz im Unterricht oder bei Hausaufgaben ✔️ Direkt einsetzbar im Unterricht✔️ Inklusive vollständiger Lösungen✔️ Didaktisch sinnvoll strukturiert Jetzt kostenlos herunterladen und Zahlen in ihre Bausteine zerlegen!

    €0,00

  • Arbeitsblatt zum Üben der Kettenregel - Ableitung - Lernmarktplatz

    Studimup® Arbeitsblatt Kettenregel – Ableitungen mit verschachtelten Funktionen | PDF mit Lösungen

    Kostenloses Mathe-Arbeitsblatt zur Kettenregel der Differentialrechnung – perfekt für Schüler:innen der Oberstufe, Nachhilfe oder den Einsatz im Unterricht. Dieses Arbeitsblatt vermittelt anschaulich die Anwendung der Kettenregel zum Ableiten verschachtelter Funktionen. Schritt für Schritt lernen Schüler:innen, wie man komplexe Ableitungen systematisch durchführt. Zwei Varianten stehen zur Auswahl:– Faltblatt mit umklappbaren Lösungen – ideal zum Selbstlernen– Klassisches Arbeitsblatt mit separatem Lösungsblatt – perfekt für Lehrer:innen und den Unterricht ✔️ Mit Lösungen zur direkten Ergebniskontrolle✔️ Fördert Sicherheit beim Differenzieren komplexer Funktionen✔️ Jetzt kostenlos als PDF herunterladen – ganz ohne Bezahlung 📥 Jetzt kostenlos bestellen und als PDF herunterladen – ohne Anmeldung von Zahlungsdaten.

    €0,00

  • Mitternachtsformel Arbeitsblatt zum Üben - Lernmarktplatz

    Studimup® Mitternachtsformel Arbeitsblatt – PDF kostenlos mit Lösungen

    Dieses kostenlose Mathematik-Arbeitsblatt hilft dir dabei, die Mitternachtsformel (quadratische Lösungsformel) sicher anzuwenden. Mit klaren Erklärungen und verständlichen Aufgaben lernst du Schritt für Schritt, quadratische Gleichungen zu lösen. Ideal für den Einsatz in der Schule, im Unterricht, zu Hause oder zur Prüfungsvorbereitung. Zwei Varianten zur Auswahl: 📄 Faltblatt mit umklappbaren Lösungen – ideal zum Selbstlernen 📘 Klassisches Arbeitsblatt mit Aufgaben- und Lösungsblatt – perfekt für Lehrer:innen im Unterricht Jetzt kostenlos herunterladen, ausdrucken und die Mitternachtsformel sicher beherrschen!

    €0,00

  • Arbeitsblatt zum Verschieben von Funktionen - Lernmarktplatz

    Studimup® Arbeitsblatt Funktionen verschieben – PDF mit Lösungen

    Kostenloses Mathe-Arbeitsblatt zur Verschiebung von Funktionen – ideal für Schüler:innen ab Klasse 9 sowie für Lehrer:innen im Unterricht oder zur gezielten Wiederholung. Das Übungsmaterial vermittelt Schritt für Schritt, wie Funktionsgraphen in der Ebene verschoben werden (vertikal und horizontal). Damit eignet es sich optimal zur Einführung oder Festigung im Themenbereich Transformationen von Funktionen. Du erhältst zwei Versionen:– Faltblatt mit umklappbaren Lösungen – ideal für das selbstständige Lernen zu Hause– Klassisches Arbeitsblatt mit Aufgaben- und separatem Lösungsblatt – perfekt für den Einsatz im Unterricht, in Vertretungsstunden oder für Hausaufgaben ✔️ Mit vollständigen Lösungen zur direkten Ergebniskontrolle✔️ Auch für Nachhilfe oder Prüfungsvorbereitung einsetzbar Nach der kostenlosen Bestellung kannst du das PDF direkt herunterladen – ohne Zahlungsdaten oder Registrierung.

    €0,00

  • Arbeitsblatt zur Quadratischen Ergänzung - Lernmarktplatz

    Studimup® Arbeitsblatt Quadratische Ergänzung – PDF gratis mit Lösungen

    Dieses kostenlose Mathematik-Arbeitsblatt erklärt anschaulich die quadratische Ergänzung – eine wichtige Methode zum Umformen quadratischer Gleichungen. Ideal für Schüler:innen ab Klasse 9 sowie für Lehrer:innen im Unterricht oder zur Prüfungsvorbereitung. Du bekommst zwei Varianten: – Faltblatt mit umklappbaren Lösungen – perfekt für das eigenständige Lernen– Klassisches Arbeitsblatt mit separatem Lösungsblatt – ideal für Unterricht, Hausaufgaben oder Nachhilfe Mit klaren Aufgabenformaten und vollständigen Lösungen unterstützt das Material den gezielten Kompetenzerwerb im Bereich Algebra. ✔️ Kompakt & verständlich✔️ Sofort einsetzbar✔️ Kostenloser PDF-Download – ohne Zahlungsdaten 📥 Jetzt kostenlos bestellen und als PDF herunterladen – ohne Anmeldung von Zahlungsdaten.

    €0,00

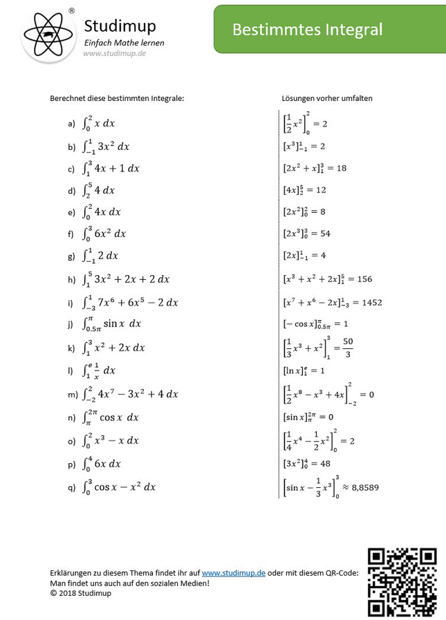
  • Arbeitsblatt zum Berechnen des bestimmten Integrals - Lernmarktplatz

    Studimup® Arbeitsblatt Bestimmtes Integral – PDF mit Lösungen

    1 Bewertung

    Kostenloses Mathe-Arbeitsblatt zur Berechnung bestimmter Integrale – ideal für Schüler:innen der Oberstufe sowie für den Einsatz im Mathematikunterricht. Dieses Übungsmaterial zeigt Schritt für Schritt, wie man mit dem bestimmten Integral Flächen unter Funktionsgraphen berechnet. Es stärkt das Verständnis für Integralrechnung, Flächeninhalte und deren Anwendung – ein zentrales Thema für das Abitur. Du erhältst zwei Varianten:– Faltblatt mit umklappbaren Lösungen – ideal für das selbstständige Üben zu Hause– Klassisches Arbeitsblatt mit separatem Aufgaben- und Lösungsblatt – perfekt für Lehrer:innen im Unterricht, Vertretungsstunden oder Nachhilfe ✔️ Verständliche Aufgaben mit vollständigen Lösungen✔️ Perfekt zur Vertiefung, Wiederholung oder Prüfungsvorbereitung✔️ Kostenloser PDF-Download ohne Zahlungsdaten 📥 Jetzt kostenlos bestellen und als PDF herunterladen – ohne Anmeldung von Zahlungsdaten.

    €0,00

  • Arbeitsblatt zum Üben der Produktregel - Ableitung - Lernmarktplatz

    Studimup® Arbeitsblatt Produktregel – Ableitung von Produkten | PDF mit Lösungen

    Kostenloses Mathe-Arbeitsblatt zur Produktregel der Differentialrechnung – ideal für Schüler:innen der Oberstufe sowie für den gezielten Einsatz im Unterricht, in der Nachhilfe oder zur Prüfungsvorbereitung. Lerne Schritt für Schritt, wie man die Produktregel anwendet, um Funktionen korrekt abzuleiten. Das Material vermittelt anschaulich, wie Produkte von Funktionen differenziert werden – ein zentrales Thema der Analysis. Du erhältst zwei Varianten des Übungsblattes:– Faltblatt mit umklappbaren Lösungen – perfekt für eigenständiges Lernen zu Hause– Klassisches Arbeitsblatt mit separatem Lösungsblatt – optimal für Lehrer:innen im Unterricht oder als Hausaufgabe ✔️ Mit vollständigen Lösungen zur Selbstkontrolle✔️ Ideal zur Vertiefung der Ableitungsregeln✔️ Kostenlos als PDF-Download – ohne Zahlungsdaten 📥 Jetzt kostenlos bestellen und als PDF herunterladen – ohne Anmeldung von Zahlungsdaten.

    €0,00

  • Arbeitsblatt zum Bestimmen der Stammfunktion - Lernmarktplatz

    Studimup® Arbeitsblatt Stammfunktion berechnen – PDF mit Lösungen

    Kostenloses Mathe-Arbeitsblatt zur Berechnung von Stammfunktionen – ideal zum Einstieg in die Integralrechnung.Lerne Schritt für Schritt, wie man Stammfunktionen bildet, und vertiefe dein Verständnis für diese grundlegende Rechenregel. 📘 Enthaltene Varianten: Faltblatt mit umklappbaren Lösungen – ideal für selbstständiges Lernen Klassisches Arbeitsblatt mit separatem Lösungsblatt – perfekt für Unterricht, Hausaufgaben oder Nachhilfe 📐 Geeignet ab Klasse 11, insbesondere für Oberstufe & AbiturvorbereitungMit klaren Aufgabenformaten, typischen Funktionsbeispielen und vollständigen Lösungen 🔽 Jetzt kostenlos bestellen & als PDF herunterladen – ohne Anmeldung von Zahlungsdaten.

    €0,00

  • Arbeitsblatt zum Üben der Mengenangaben - Lernmarktplatz

    Studimup® Mengen Arbeitsblatt – kostenloses PDF mit Aufgaben & Lösungen

    Dieses kostenlose Mathe-Arbeitsblatt zum Thema Mengen bietet eine ideale Übungsmöglichkeit für Schüler:innen der Unter- und Mittelstufe. Es enthält Aufgaben zum Verständnis von Mengen, Teilmengen, Vereinigungen und Schnittmengen. Zwei Varianten stehen zur Verfügung: 📄 Faltblatt mit umklappbaren Lösungen – ideal zum selbstständigen Lernen und zur direkten Kontrolle 📘 Klassisches Arbeitsblatt mit separatem Lösungsblatt – optimal für den Einsatz im Mathematikunterricht, bei Hausaufgaben oder zur Wiederholung Ob im Unterricht, zu Hause oder zur Vorbereitung auf Klassenarbeiten – dieses Arbeitsblatt hilft, das Mengenverständnis systematisch zu trainieren. Jetzt kostenlos herunterladen und direkt mit dem Üben starten!

    €0,00

  • Arbeitsblatt zum Bestimmen der Symmetrie von Funktionen - Lernmarktplatz

    Studimup® Arbeitsblatt Symmetrie von Funktionen – Achsen- & Punktsymmetrie (PDF, mit Lösungen)

    Kostenloses Mathe-Arbeitsblatt zur Untersuchung der Symmetrie von Funktionen.Ideal für Schüler*innen, die lernen möchten, ob eine Funktion achsensymmetrisch, punktsymmetrisch oder ohne Symmetrie ist – inklusive zwei Varianten zur Auswahl. 📘 Enthaltene Varianten: Faltblatt mit umklappbaren Lösungen – perfekt zum eigenständigen Lernen Klassisches Arbeitsblatt mit separatem Lösungsblatt – optimal für Unterricht & Hausaufgaben 📐 Geeignet ab Klasse 9, insbesondere für die Kurvendiskussion und Grundlagen der FunktionsanalyseMit detaillierten Lösungen zur direkten Überprüfung & gezielten Wiederholung 🔽 Einfach kostenlos bestellen & als PDF herunterladen – keine Zahlungsdaten erforderlich.

    €0,00

  • Arbeitsblatt zum Berechnen der Fläche unter einer Funktion - Lernmarktplatz

    Studimup® Arbeitsblatt Fläche unter dem Graphen berechnen – PDF mit Lösungen

    Kostenloses Mathe-Arbeitsblatt zur Berechnung der Fläche unter Funktionsgraphen mithilfe der Integralrechnung.Ideal für Schüler:innen der Oberstufe sowie für Lehrer:innen im Mathematikunterricht. Das Arbeitsblatt erklärt Schritt für Schritt, wie man mithilfe bestimmter Integrale Flächen unterhalb von Funktionen berechnet – ein zentrales Thema in der Analysis und in vielen Abiturprüfungen. Du erhältst zwei Versionen:– Faltblatt mit umklappbaren Lösungen – optimal für eigenständiges Üben zu Hause– Klassisches Aufgabenblatt mit separatem Lösungsblatt – ideal für Unterricht, Vertretungsstunden oder Nachhilfe ✔️ Geeignet für die Oberstufe & Abiturvorbereitung✔️ Mit Lösungen zur direkten Ergebniskontrolle✔️ Perfekt für Schule, Hausaufgaben oder Prüfungstraining 🔽 Einfach kostenlos bestellen, PDF herunterladen und losrechnen – ganz ohne Zahlungsdaten.

    €0,00

  • Arbeitsblatt zur Bestimmung der Monotonie - Lernmarktplatz

    Studimup® Arbeitsblatt Monotonie von Funktionen – PDF mit Lösungen

    Kostenloses Mathe-Arbeitsblatt zur Bestimmung der Monotonie von Funktionen.Lerne Schritt für Schritt, wie man untersucht, ob eine Funktion monoton steigend, fallend oder konstant ist – mit anschaulichen Aufgaben und zwei Varianten für individuellen oder schulischen Einsatz. 📘 Enthaltene Varianten: Faltblatt mit umklappbaren Lösungen – ideal für eigenständiges Lernen Klassisches Arbeitsblatt mit separatem Lösungsblatt – perfekt für Unterricht, Hausaufgaben oder Nachhilfe 📐 Geeignet ab Klasse 10, insbesondere für Oberstufe und PrüfungsvorbereitungMit vollständigen Lösungen zur direkten Kontrolle und verständlichen Beispielen 🔽 Einfach kostenlos bestellen, PDF herunterladen und sofort loslegen – ohne Zahlungsdaten.

    €0,00

  • Arbeitsblatt zum Berechnen des y-Achsenabschnitts - Lernmarktplatz

    Studimup® Arbeitsblatt y-Achsenabschnitt – Lineare Funktionen (PDF, mit Lösungen)

    Kostenloses Mathe-Arbeitsblatt zur Bestimmung des y-Achsenabschnitts bei linearen Funktionen.Ideal zum Einstieg in die Funktionsanalyse – mit zwei praktischen Varianten für individuellen oder schulischen Einsatz. 📘 Enthaltene Varianten: Faltblatt mit umklappbaren Lösungen – optimal für eigenständiges Üben Klassisches Arbeitsblatt mit separatem Lösungsblatt – perfekt für Unterricht oder Hausaufgaben 📐 Geeignet ab Klasse 7Mit anschaulichen Aufgaben und vollständigen Lösungen zum direkten Nachprüfen. 🔽 Einfach kostenlos bestellen und als PDF herunterladen – ohne Zahlungsdaten.

    €0,00

  • Arbeitsblatt zum Berechnen von senkrechten Asymptoten - Lernmarktplatz

    Studimup® Arbeitsblatt Senkrechte Asymptoten – PDF mit Lösungen

    Kostenloses Mathe-Arbeitsblatt zum Berechnen senkrechter Asymptoten – ideal für Schüler:innen der Oberstufe sowie für den gezielten Einsatz im Mathematikunterricht. Das Übungsmaterial führt Schritt für Schritt durch die Analyse von Funktionen mit Definitionslücken und zeigt, wie man senkrechte Asymptoten erkennt und mathematisch bestimmt. Ein zentrales Thema in der Kurvendiskussion und hilfreich für die Abiturvorbereitung. Du erhältst zwei Varianten:– Faltblatt mit umklappbaren Lösungen – ideal zum eigenständigen Lernen zu Hause– Klassisches Arbeitsblatt mit separatem Lösungsblatt – perfekt für Lehrer:innen im Unterricht, für Hausaufgaben oder die Nachhilfe ✔️ Aufgaben mit vollständigen Lösungen✔️ Geeignet zur Wiederholung, Festigung und Prüfungsvorbereitung✔️ 100 % kostenloser PDF-Download ohne Zahlungsdaten 📥 Jetzt kostenlos bestellen und als PDF herunterladen – ohne Anmeldung von Zahlungsdaten.

    €0,00

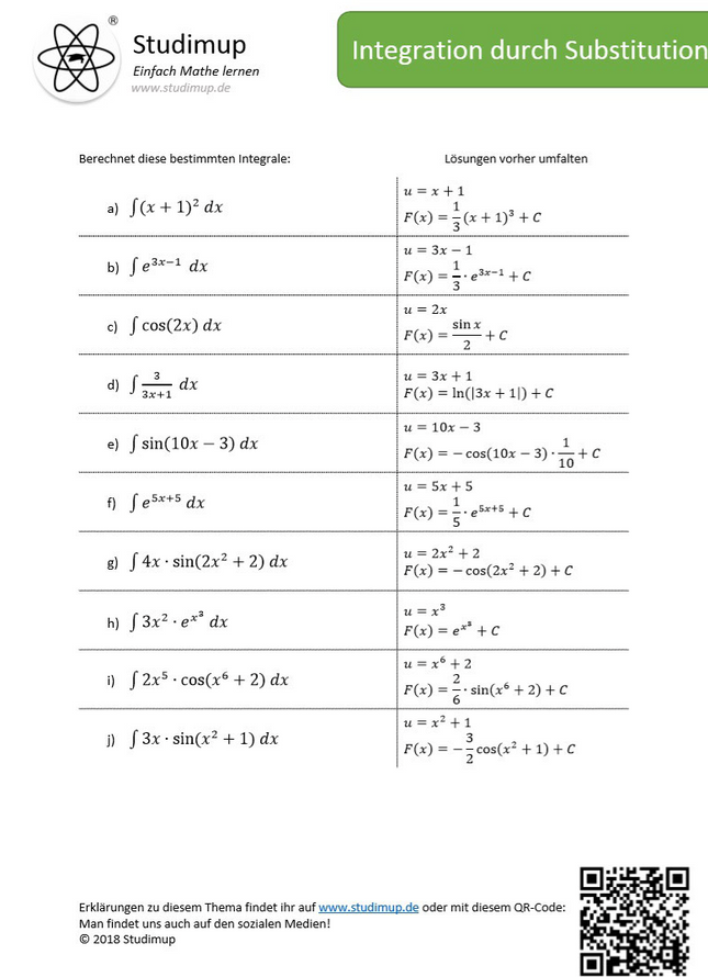
  • Arbeitsblatt zur Integration durch Substitution - Lernmarktplatz

    Studimup® Arbeitsblatt Integration durch Substitution – PDF mit Lösungen

    2 Rezensionen

    Kostenloses Mathe-Arbeitsblatt zur Integration durch Substitution – einer zentralen Methode der Integralrechnung.Dieses Arbeitsblatt hilft dir, Schritt für Schritt das Verfahren zu verstehen und sicher anzuwenden. Perfekt für eigenständiges Lernen oder den Einsatz im Unterricht. 📘 Enthaltene Varianten: Faltblatt mit umklappbaren Lösungen – ideal zum Selbstüben Klassisches Arbeitsblatt mit separatem Lösungsblatt – optimal für Unterricht & Hausaufgaben 📐 Geeignet ab Klasse 12 – besonders für Abitur, Leistungskurs oder NachhilfeMit anschaulichen Aufgaben, typischen Substitutionen und vollständigen Lösungen 🔽 Jetzt kostenlos bestellen, PDF downloaden und sicher integrieren – keine Zahlungsdaten nötig.

    €0,00

  • Arbeitsblatt zum Summenzeichen und Produktzeichen - Lernmarktplatz

    Studimup® Arbeitsblatt Summenzeichen & Produktzeichen – Mathe kostenlos üben (PDF)

    Dieses kostenlose Mathematik-Arbeitsblatt hilft dir, den Umgang mit dem Summenzeichen (∑) und Produktzeichen (∏) zu üben und sicher zu beherrschen. Die klar strukturierten Aufgaben fördern das Verständnis für mathematische Schreibweisen und sind ideal zur gezielten Vorbereitung auf Klausuren. Perfekt geeignet für den Matheunterricht, die Nachhilfe oder das eigenständige Lernen.Enthalten sind zwei Varianten: – Faltblatt mit umklappbaren Lösungen – ideal für individuelles Üben– Klassisches Arbeitsblatt mit Aufgaben- und Lösungsblatt – ideal für Lehrer:innen im Unterricht ✔️ Mit Lösungen zur Selbstkontrolle✔️ Fördert Sicherheit im Umgang mit mathematischen Symbolen✔️ Kostenloser Download – kein Kauf nötig 📥 Jetzt kostenlos bestellen und als PDF herunterladen – ohne Anmeldung von Zahlungsdaten.

    €0,00

  • Arbeitsblatt Brüche multiplizieren – Übungsblatt mit Lösungen für Schüler

    Studimup® Arbeitsblatt Brüche multiplizieren – Übungsblatt mit Lösungen für Schüler

    Entdecke unser umfassendes Arbeitsblatt zum Thema Brüche multiplizieren. Es bietet eine klare und einfache Anleitung zum Multiplizieren von Zähler und Nenner sowie zahlreiche Übungen in verschiedenen Schwierigkeitsstufen – von einfachen Grundlagen bis zu komplexeren Aufgaben. Dieses Arbeitsblatt ist ideal für Schüler:innen, die ihre Mathematikkenntnisse gezielt vertiefen und ihre Fertigkeiten im Bruchrechnen verbessern möchten. Perfekt einsetzbar im Unterricht, für Hausaufgaben oder zum selbstständigen Üben. Lösungen sind natürlich inklusive, sodass die Ergebnisse direkt kontrolliert werden können. 🔽 Nach dem kostenlosen Bestellen erhältst du direkt den Downloadlink – ganz ohne Zahlungsdaten.

    €0,00

  • Arbeitsblatt: Kommutativgesetz & Assoziativgesetz bei Brüchen – Rechengesetze verstehen & geschickt anwenden

    Martin Behm | MB Nachhilfe Arbeitsblatt: Kommutativgesetz & Assoziativgesetz bei Brüchen – Rechengesetze verstehen & geschickt anwenden

    Dieses Arbeitsblatt erklärt anschaulich, wie man mit Hilfe des Kommutativgesetzes und des Assoziativgesetzes Bruchaufgaben deutlich vereinfachen kann. Auf Seite 1 werden beide Rechengesetze anhand farbig hervorgehobener Beispiele dargestellt: Kommutativgesetz: Summanden/Faktoren dürfen vertauscht werden → ideal zum Umsortieren für einfachere Kopfrechnung. Assoziativgesetz: Summanden/Faktoren dürfen beliebig zusammengefasst werden → perfekt zum geschickten Klammernsetzen. Zu jedem Gesetz zeigt das Arbeitsblatt sowohl gültige Beispiele als auch Gegenbeispiele, bei denen das Gesetz nicht gilt (Subtraktion und Division). Die grafischen Darstellungen und farbigen Bruchrechnungen auf Seite 1 machen den Effekt des Umsortierens und Gruppierens klar sichtbar. Im Anschluss folgen gezielte Übungsaufgaben: ✔ Gesetz richtig oder falsch angewendet? (Seite 2, Aufgabe 1 & 2) Die Lernenden beurteilen, ob eine Umformung zulässig ist – ideal, um typische Fehler zu vermeiden. ✔ Rechnen mit cleverer Strategie (Seite 2–3, Aufgaben 3 & 6) Brüche werden so angeordnet, dass sie leichter zu addieren oder zu multiplizieren sind. ✔ Additions- & Multiplikationstafeln (Seite 3, Aufgabe 5) Tabellen werden mithilfe des Kommutativgesetzes ausgefüllt – optimal zur Festigung. ✔ Rechengesetze in Termen anwenden (Seite 3, Aufgabe 4) Komplexere Terme werden durch gezieltes Umsortieren und Klammern deutlich vereinfacht,z. B. mit Brüchen, gemischten Zahlen und Dezimalwerten. Damit eignet sich dieses Arbeitsblatt hervorragend für Klasse 6–8, zur Bruchrechnung, für Wiederholung, Kopfrechentraining, Vertretungsstunden, Hausaufgaben und die Vorbereitung auf Klassenarbeiten. Wie bekomme ich das Arbeitsblatt Lege das Arbeitsblatt in den Warenkorb und mach den Check-Out. Es ist nicht nötig Zahlungsdaten anzugeben. Danach erhältst du eine Email mit einem Download-Link.  Herausgeber Martin Behm | MB Nachhilfe Quelle MB Nachhilfe Mathe Autor Martin Behm Nutzungsrechte Copyright, freier Zugang

    €0,00


Du hast 48 von 126 Produkten gesehen

Footer image

© 2026 Lernmarktplatz,

    • American Express
    • Apple Pay
    • Google Pay
    • Klarna
    • Maestro
    • Mastercard
    • PayPal
    • Visa

    Anmeldung

    Hast du dein Passwort vergessen?

    Sie haben noch kein Konto?
    Konto erstellen